Перейти к публикации
  • Сейчас на странице   Всего пользователей: 0   (0 пользователей, 0 гостей)

Zhenek

Разминка для мозга

Рекомендованные сообщения

(изменено)

 

LynTeek написал 07.08.2022 в 12:07:

в честь возвращения женька дублирую нерешенные задачки
 

 

 

 

площадь квадрата - ?image.png

 

 

А с этим разобрались уже?


Изменено пользователем yellyex

moonfangtopich написал 29.08.2019 в 14:57:
У вас недостаточно широкий кругозор, пацаны

Я странствия этого еблана видел в покерных топанах, а потом в таверне - это один из самых безумных людей на форуме. Я искренне надеялся, что его зов о помощи останется незамеченным, но нет, нашелся доброволец и вот уже три страницы мы пожинаем плоды

Поделиться сообщением


Ссылка на сообщение
(изменено)

 

krasavec написал 4 часа назад:

про пятиугольник

минуточку

а чем отличается угол еал от угла бск?

а ничем

а значит раз там пятиугольник правельный то ответ нольвосемь

Ну пиздец блять, я стока крутил эти углы ебаные, достраивал какую-то залупу, получал какие-то ебанутые равнобедренные треугольники, а самое очевидное - вот ЭТО, не увидел. Шок с себя. Ответ, соответственно, прям отсюда и получается.

yellyex написал 4 часа назад:

 

LynTeek написал 07.08.2022 в 12:07:

в честь возвращения женька дублирую нерешенные задачки
 

 

 

 

площадь квадрата - ?image.png

 

 

А с этим разобрались уже?

 

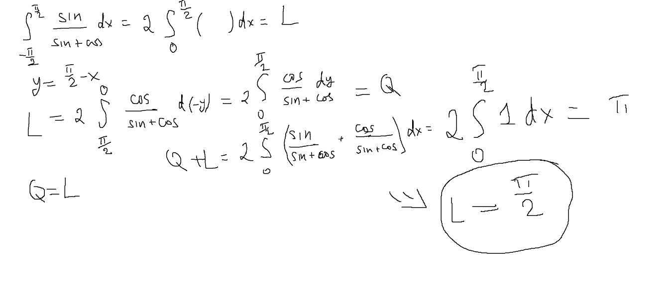
Я решил, вроде. Загуглить не сумел.

@LynTeek

С интегралом

image.png.2701fad06842dc65630d9618a85ce85b.png

 


Изменено пользователем Zhenek
LynTeek понравилось это

Поделиться сообщением


Ссылка на сообщение

Нашел интересную задачу. Дано натуральное число N, сколь угодно большое. 

Существует операция, которая может разбивать число на знаки и складывать полученные числа. Например, число 9999 можно разбить на 9+9+9+9=36 или 99+99=198 или 999+9=1008 и т.д.

 

Доказать, что любое сколь угодно большое число можно свести к однозначному за максимум 4 операции.


Ilze said On 5/6/2025 at 5:01 AM:

 у меня был секс с женьком

Поделиться сообщением


Ссылка на сообщение
(изменено)
Zhenek написал 08.08.2022 в 22:33:
LynTeek написал 08.08.2022 в 20:10:

Сбербанк :pdanus::pdanus::pdanus:

Так. Ну, с квадратом вроде вот так.

image.png.9ff1307746ef486be7076b570e27d818.png

я чет не соображу почему если соединить две точки внутри после поворота на 90 там будет пепендикуляр к корню из 17
более того
я уверен что это не так


Изменено пользователем krasavec

Поделиться сообщением


Ссылка на сообщение
(изменено)
krasavec написал 23 минуты назад:
Zhenek написал 08.08.2022 в 21:33:
LynTeek написал 08.08.2022 в 19:10:

Сбербанк :pdanus::pdanus::pdanus:

Так. Ну, с квадратом вроде вот так.

image.png.9ff1307746ef486be7076b570e27d818.png

я чет не соображу почему если соединить две точки внутри после поворота на 90 там будет пепендикуляр к корню из 17
более того
я уверен что это не так

 

А почему нет? Ты же поворачиваешь квадрат на 90 градусов. Значит и отрезок корень из 17 тоже поворачивается на 90 градусов. Отрезок 2 корня из двух является продолжением отрезка корень из 17 потому что 2 корня из 2, 5 и корень из 17 - это пифагорова тройка. Если бы это не была пифагорова тройка, то тогда, да, было бы как у меня на рисунке, ломаная линия, и тогда перпендикуляров бы не было, и задача не решалась бы (вот так просто).


Изменено пользователем Zhenek

Поделиться сообщением


Ссылка на сообщение
Zhenek написал 11 минут назад:
krasavec написал 32 минуты назад:
Zhenek написал 08.08.2022 в 22:33:
LynTeek написал 08.08.2022 в 20:10:

Сбербанк :pdanus::pdanus::pdanus:

Так. Ну, с квадратом вроде вот так.

image.png.9ff1307746ef486be7076b570e27d818.png

я чет не соображу почему если соединить две точки внутри после поворота на 90 там будет пепендикуляр к корню из 17
более того
я уверен что это не так

 

А почему нет? Ты же поворачиваешь квадрат на 90 градусов. Значит и отрезок корень из 17 тоже поворачивается на 90 градусов. Отрезок 2 корня из двух является продолжением отрезка корень из 17 потому что 2 корня из 2, 5 и корень из 17 - это пифагорова тройка. Если бы это не была пифагорова тройка, то тогда, да, было бы как у меня на рисунке, ломаная линия, и тогда перпендикуляров бы не было, и задача не решалась бы (вот так просто).

 

Если бы это не была пифагорова тройка.

 

ВОТ ОНО ЧО
это гениально

Поделиться сообщением


Ссылка на сообщение
(изменено)
Zhenek написал 1 час назад:
krasavec написал 1 час назад:
Zhenek написал 08.08.2022 в 21:33:
LynTeek написал 08.08.2022 в 19:10:

Сбербанк :pdanus::pdanus::pdanus:

Так. Ну, с квадратом вроде вот так.

image.png.9ff1307746ef486be7076b570e27d818.png

я чет не соображу почему если соединить две точки внутри после поворота на 90 там будет пепендикуляр к корню из 17
более того
я уверен что это не так

 

А почему нет? Ты же поворачиваешь квадрат на 90 градусов. Значит и отрезок корень из 17 тоже поворачивается на 90 градусов. Отрезок 2 корня из двух является продолжением отрезка корень из 17 потому что 2 корня из 2, 5 и корень из 17 - это пифагорова тройка. Если бы это не была пифагорова тройка, то тогда, да, было бы как у меня на рисунке, ломаная линия, и тогда перпендикуляров бы не было, и задача не решалась бы (вот так просто).

 

че женек можешь решить олимпиадную задачку 9 класса?

 

Ладно, даю новую задачку.

Задача для теоретиков-игровиков или любителей мафии

 

   Представьте, что 5 женьков схватил Папаня, запер в разных комнатах и прилепил на лоб бумажки (зеленого или красного цветов). Каждое утро Женьки собираются в Подвале и видят друг друга, однако не могут общаться друг с другом и также не имеют возможности увидеть свою бумажку.
   Папаня сообщает, что каждый из женьков может прийти к нему ночью и попроситься на свободу. Если бумажка у женька на лбу будет зеленая, то Папаня его отпустит, если нет - убьет.
   Папанистер - еще тот хитрец и любитель женьков, и потому все бумажки у всех женьков зеленые, однако ни один из них об этом не знает. Папаня рассказал всем женькам, что есть хотя бы один женек с зеленой бумажке.

Как действовать женькам, чтобы всем гарантированно выйти на волю?


Изменено пользователем LynTeek

Ilze said On 5/6/2025 at 5:01 AM:

 у меня был секс с женьком

Поделиться сообщением


Ссылка на сообщение
(изменено)

 

Это самая сложная задача, которую я блять знал тыщу лет но до сих пор не могу понять эти ебучие вложенные рассуждения. эту хуйню с common knowledge я не могу блять ну сука понять

Ладно отбой я все понял задача ебейшая, если поймете решение или сами догадаетесь - почувствуете прям всем телом, как айсикью к вам прибавилось


Изменено пользователем LynTeek

Ilze said On 5/6/2025 at 5:01 AM:

 у меня был секс с женьком

Поделиться сообщением


Ссылка на сообщение
LynTeek написал 8 часов назад:
Zhenek написал 8 часов назад:
krasavec написал 9 часов назад:
Zhenek написал 08.08.2022 в 21:33:
LynTeek написал 08.08.2022 в 19:10:

Сбербанк :pdanus::pdanus::pdanus:

Так. Ну, с квадратом вроде вот так.

image.png.9ff1307746ef486be7076b570e27d818.png

я чет не соображу почему если соединить две точки внутри после поворота на 90 там будет пепендикуляр к корню из 17
более того
я уверен что это не так

 

А почему нет? Ты же поворачиваешь квадрат на 90 градусов. Значит и отрезок корень из 17 тоже поворачивается на 90 градусов. Отрезок 2 корня из двух является продолжением отрезка корень из 17 потому что 2 корня из 2, 5 и корень из 17 - это пифагорова тройка. Если бы это не была пифагорова тройка, то тогда, да, было бы как у меня на рисунке, ломаная линия, и тогда перпендикуляров бы не было, и задача не решалась бы (вот так просто).

 

че женек можешь решить олимпиадную задачку 9 класса?

Какую?

 

 Представьте, что 5 женьков схватил Папаня, запер в разных комнатах и прилепил на лоб бумажки (зеленого или красного цветов). Каждое утро Женьки собираются в Подвале и видят друг друга, однако не могут общаться друг с другом и также не имеют возможности увидеть свою бумажку.


   Папаня сообщает, что каждый из женьков может прийти к нему ночью и попроситься на свободу. Если бумажка у женька на лбу будет зеленая, то Папаня его отпустит, если нет - убьет.
   Папанистер - еще тот хитрец и любитель женьков, и потому все бумажки у всех женьков зеленые, однако ни один из них об этом не знает. Папаня рассказал всем женькам, что есть хотя бы один женек с зеленой бумажке.

Как действовать женькам, чтобы всем гарантированно выйти на волю?

Действвоать в каком смысле? Как-то можно менять бумажки или тут единственное действие - это встреча утром вместе?

 

Поделиться сообщением


Ссылка на сообщение

наверное каждый должен отталкивать от того что другие не пошли в 1 ночь, но как именно зацепиться не могу. Если бы сказали что есть 1 красная, то можно было докрутить что никто не увидел красную и подумал что у него на лбу красная, но с 1 зеленой хуй знает

каждый женек видит пред собой 4з, и значит он думает что остальные 4 видят перед собой либо 4з, либо 3з и 1к. И ЧТО ДАЛЬШЕ?

вариант с 4з нас не интересует, потому что это будет зациклено, надо отталкиваться почему не могут видеть 3з + 1к

значит если женек видит 3з + 1к, то другие женьки видят 2з + 2к или 3з + 1к этот вариант ведет обратно в начало его отбрасываем


  GOAT

image.png.cb7c1f880ce886cddffc60445cbf1bf4.png

Поделиться сообщением


Ссылка на сообщение

вариант 2з + 2к, значит другие женьки видят 3з + 1к или 1з + 3к, 3з + 1к смотри выше.

 

вариант 1з + 3к, значит другие видят 2з + 2к или 0з + 4к, 2з + 2к смотри выше

 

вариант 0з + 4к не работает так как минимум 1з карта и чел сразу идет к папизи

поэтому при вариант 3з + 1 не работает

остается только 4з, значит у первого женька тоже з карта, изи


  GOAT

image.png.cb7c1f880ce886cddffc60445cbf1bf4.png

Поделиться сообщением


Ссылка на сообщение
(изменено)
Zhenek написал 3 часа назад:
LynTeek написал 11 часов назад:
Zhenek написал 12 часов назад:
krasavec написал 12 часов назад:
Zhenek написал 08.08.2022 в 21:33:
LynTeek написал 08.08.2022 в 19:10:

Сбербанк :pdanus::pdanus::pdanus:

Так. Ну, с квадратом вроде вот так.

image.png.9ff1307746ef486be7076b570e27d818.png

я чет не соображу почему если соединить две точки внутри после поворота на 90 там будет пепендикуляр к корню из 17
более того
я уверен что это не так

 

А почему нет? Ты же поворачиваешь квадрат на 90 градусов. Значит и отрезок корень из 17 тоже поворачивается на 90 градусов. Отрезок 2 корня из двух является продолжением отрезка корень из 17 потому что 2 корня из 2, 5 и корень из 17 - это пифагорова тройка. Если бы это не была пифагорова тройка, то тогда, да, было бы как у меня на рисунке, ломаная линия, и тогда перпендикуляров бы не было, и задача не решалась бы (вот так просто).

 

че женек можешь решить олимпиадную задачку 9 класса?

Какую?

 

 

Цитата

 Представьте, что 5 женьков схватил Папаня, запер в разных комнатах и прилепил на лоб бумажки (зеленого или красного цветов). Каждое утро Женьки собираются в Подвале и видят друг друга, однако не могут общаться друг с другом и также не имеют возможности увидеть свою бумажку.


   Папаня сообщает, что каждый из женьков может прийти к нему ночью и попроситься на свободу. Если бумажка у женька на лбу будет зеленая, то Папаня его отпустит, если нет - убьет.
   Папанистер - еще тот хитрец и любитель женьков, и потому все бумажки у всех женьков зеленые, однако ни один из них об этом не знает. Папаня рассказал всем женькам, что есть хотя бы один женек с зеленой бумажке.

Как действовать женькам, чтобы всем гарантированно выйти на волю?
 

 

Действвоать в каком смысле? Как-то можно менять бумажки или тут единственное действие - это встреча утром вместе?

 

Действовать в смысле того, что кто в какую ночь должен пойти проситься на волю

Тут мы исходим из того, что все мыслят полностью рационально и существует стратегия рассуждений, согласно которой все смогут спастись

LynTeek написал 09.08.2022 в 16:03:

Дано натуральное число N, сколь угодно большое. 

Существует операция, которая может разбивать число на знаки и складывать полученные числа. Например, число 9999 можно разбить на 9+9+9+9=36 или 99+99=198 или 999+9=1008 и т.д.

 

Доказать, что любое сколь угодно большое число можно свести к однозначному за максимум 4 операции.

 


Изменено пользователем LynTeek

Ilze said On 5/6/2025 at 5:01 AM:

 у меня был секс с женьком

Поделиться сообщением


Ссылка на сообщение
(изменено)
Glamdring написал 13 минут назад:

@LynTeek я правильно решил? где ответ?

Рассуждения не последовательные, я б не засчитал как ответ 

Что ты написал про зелёные и красные я вообще не понял, ты типа общий случай хотел разобрать или что? 

Вложенные рассуждения это интересно, думаю имеет место быть, но я не понял твоего объяснения 

 

Идея о том, что надо отталкиваться от того, что не пошли в 1 ночь верная. Можно вообще решать через общий случай, потому что не важно, сколько зелёных и красных, стратегия будет одна и та же 

 

Могу ещё дать подсказку, что ты не берёшь в рассуждения факт, сколько женьков вышло/не вышло в первую, вторую, третью и тд ночь

Эти рассуждения женьки тоже используют в своей стратегии


Изменено пользователем LynTeek

Ilze said On 5/6/2025 at 5:01 AM:

 у меня был секс с женьком

Поделиться сообщением


Ссылка на сообщение
LynTeek написал 34 минуты назад:
Glamdring написал 40 минут назад:

@LynTeek я правильно решил? где ответ?

Рассуждения не последовательные, я б не засчитал как ответ 

Что ты написал про зелёные и красные я вообще не понял, ты типа общий случай хотел разобрать или что? 

Вложенные рассуждения это интересно, думаю имеет место быть, но я не понял твоего объяснения 

 

Идея о том, что надо отталкиваться от того, что не пошли в 1 ночь верная. Можно вообще решать через общий случай, потому что не важно, сколько зелёных и красных, стратегия будет одна и та же 

 

Могу ещё дать подсказку, что ты не берёшь в рассуждения факт, сколько женьков вышло/не вышло в первую, вторую, третью и тд ночь

Эти рассуждения женьки тоже используют в своей стратегии

 

СЛОЖНА вырубай


  GOAT

image.png.cb7c1f880ce886cddffc60445cbf1bf4.png

Поделиться сообщением


Ссылка на сообщение
LynTeek написал 3 часа назад:
Glamdring написал 3 часа назад:

@LynTeek я правильно решил? где ответ?

Рассуждения не последовательные, я б не засчитал как ответ 

Что ты написал про зелёные и красные я вообще не понял, ты типа общий случай хотел разобрать или что? 

Вложенные рассуждения это интересно, думаю имеет место быть, но я не понял твоего объяснения 

 

Идея о том, что надо отталкиваться от того, что не пошли в 1 ночь верная. Можно вообще решать через общий случай, потому что не важно, сколько зелёных и красных, стратегия будет одна и та же 

 

Могу ещё дать подсказку, что ты не берёшь в рассуждения факт, сколько женьков вышло/не вышло в первую, вторую, третью и тд ночь

Эти рассуждения женьки тоже используют в своей стратегии

 

 

  Показать содержимое

вроде как идея верная, но будто парадоксальная хуйня получается из-за того, что они видят по 4 зеленых (и будто ты должен абстрагироваться от того, что ты видишь сам)

 

предположим, что красных бумажек 4, тогда 1 чел вышел бы в 1 ночь

в 1 ночь никто не вышел => красных бумажек максимум 3

предположим, что красных бумажек 3, тогда люди, у которых бы была зеленая бумажка вышли бы на 2 ночь

во 2 ночь никто не вышел => красных бумажек максимум 2

предположим, что красных бумажек 2, тогда люди, у которых бы была зеленая бумажка вышли бы на 3 ночь

в 3 ночь никто не вышел => красных бумажек максимум 1

предположим, что красных бумажек 1, тогда люди, у которых бы была зеленая бумажка вышли бы на 4 ночь

в 4 ночь никто не вышел => красных бумажек нет

 

 

LynTeek понравилось это

Поделиться сообщением


Ссылка на сообщение
(изменено)
UmN1k написал 59 минут назад:
LynTeek написал 4 часа назад:
Glamdring написал 4 часа назад:

@LynTeek я правильно решил? где ответ?

Рассуждения не последовательные, я б не засчитал как ответ 

Что ты написал про зелёные и красные я вообще не понял, ты типа общий случай хотел разобрать или что? 

Вложенные рассуждения это интересно, думаю имеет место быть, но я не понял твоего объяснения 

 

Идея о том, что надо отталкиваться от того, что не пошли в 1 ночь верная. Можно вообще решать через общий случай, потому что не важно, сколько зелёных и красных, стратегия будет одна и та же 

 

Могу ещё дать подсказку, что ты не берёшь в рассуждения факт, сколько женьков вышло/не вышло в первую, вторую, третью и тд ночь

Эти рассуждения женьки тоже используют в своей стратегии

 

 

  Показать содержимое

вроде как идея верная, но будто парадоксальная хуйня получается из-за того, что они видят по 4 зеленых (и будто ты должен абстрагироваться от того, что ты видишь сам)

 

предположим, что красных бумажек 4, тогда 1 чел вышел бы в 1 ночь

в 1 ночь никто не вышел => красных бумажек максимум 3

предположим, что красных бумажек 3, тогда люди, у которых бы была зеленая бумажка вышли бы на 2 ночь

во 2 ночь никто не вышел => красных бумажек максимум 2

предположим, что красных бумажек 2, тогда люди, у которых бы была зеленая бумажка вышли бы на 3 ночь

в 3 ночь никто не вышел => красных бумажек максимум 1

предположим, что красных бумажек 1, тогда люди, у которых бы была зеленая бумажка вышли бы на 4 ночь

в 4 ночь никто не вышел => красных бумажек нет

 

 

Все верно. Это известная теоретико-игровая задача, так называемая задача про неверных жен, в английской литературе cheating husbands/wives puzzle, только с измененной семантикой

 

Спиздил задачу с собеса яндекса


Изменено пользователем LynTeek

Ilze said On 5/6/2025 at 5:01 AM:

 у меня был секс с женьком

Поделиться сообщением


Ссылка на сообщение

В школе есть такой ритуал, проводящийся в последний день занятий: ученики выходят в холл и стоят около своих шкафчиков, в которых хранится одежда. 

По 1-ому свистку каждый ученик открывает свой шкафчик

по 2-ому свистку ученики закрывают шкафчики под номерами 2, 4, 6, 8... и т.д.

по 3-ему свистку ученики меняют положение дверцы каждого третьего шкафчика

по 4-ому свистку меняют положение дверцы каждого 4 шкафчика, по 5 - положение каждой 5 дверцы и т.д.

Предположим, что это небольшая школа и шкафчиков всего 100. По сотому свистку ученик под сотым номером (и только он) меняет положение дверцы шкафчика.

 

Сколько шкафчиков после ритуала будут открытыми?


Ilze said On 5/6/2025 at 5:01 AM:

 у меня был секс с женьком

Поделиться сообщением


Ссылка на сообщение

Присоединяйтесь к обсуждению

Вы можете опубликовать сообщение сейчас, а зарегистрироваться позже. Если у вас есть аккаунт, войдите в него для написания от своего имени.

Гость
Ответить в тему...

×   Вставлено в виде отформатированного текста.   Восстановить форматирование

  Разрешено не более 75 эмодзи.

×   Ваша ссылка была автоматически встроена.   Отобразить как ссылку

×   Ваш предыдущий контент был восстановлен.   Очистить редактор

×   Вы не можете вставить изображения напрямую. Загрузите или вставьте изображения по ссылке.

Загрузка...

×
×
  • Создать...