Перейти к публикации
  • Сейчас на странице   Всего пользователей: 0   (0 пользователей, 0 гостей)

Zhenek

Разминка для мозга

Рекомендованные сообщения

SpooMyFly написал 25 минут назад:
pilotsevsk написал 2 часа назад:
Cryless написал 23.06.2022 в 18:31:

На берегу озера встретились два друга Петр и Иван, которые давно друг друга не видели. 

Начали разговаривать о семьях. У Петра оказалось два сына.

Иван спросил сколько лет детям.

Петр ответил, что произведение их возрастов равно количеству уток, плавающих в озере.

Иван сказал, что этой информации недостаточно.

Петр сказал, что старший больше похож на маму.

Иван сказал, что теперь понятно сколько лет сыновьям.

 

Сколько лет сыновьям?

4; 1

Задача, в которой надо перевести условие на человеческий язык.

Единственное, что понятно, это что произведение возрастов мальчиков квадрат числа. И это не число, квадратом которого является произведение.

По какой причине мы отметаем вариант 1:9? 

Могу представить почему отметаем 1:16 (потому что могут быть 2:8, а значит первое условие не могло быть единственным или я вообще хз)

 

забыл написать, что два сына дошкольника


126019000064.jpg 126018958347.jpg127694363158.jpg

126018954572.jpg

 

Поделиться сообщением


Ссылка на сообщение
(изменено)
sherbet написал 21.06.2022 в 20:50:

Женек заметил, что Папаня творит хуйню на стриме в случайном интервале в пределах 25 минут с момента начала стрима, при этом Папаня разрешает досмотреть стрим до конца только в случае, если Женек подключился к стриму не позднее 10 минут после произошедшей хуйни. Женек решил опоздать на начало трансляции и включить окно стрима не сразу после подрубки папани. Но выбрал себе границу случайного опоздания всего в 15 минут и время ожидания того, что папаня сотворит хуйню тоже 15 минут (то есть после 15 минут, если хуйни не произошло, то женек закрывает стрим). Какова вероятность того, что Женек досмотрит стрим Папича?

 

Задача от @LynTeek

ему 7 выписали 

Хз как определить вероятность во времени, ну пускай будет 87%

Скрытый текст

Рассмотрим 3 периода опоздания.

0-5 - тогда не смотрим стрим, если оказия происходит 20-25 (минут из 25 возможных)

5-10 - тогда досматривали всегда

10-15 - тогда не смотрим, если всё было 0-5 (5 минут)

(1/5 +0 + 1/5)/3 = 13% не досмотреть => 87% досмотреть 

 

 

Cryless написал 55 минут назад:
SpooMyFly написал 1 час назад:
pilotsevsk написал 3 часа назад:
Cryless написал 23.06.2022 в 17:31:

На берегу озера встретились два друга Петр и Иван, которые давно друг друга не видели. 

Начали разговаривать о семьях. У Петра оказалось два сына.

Иван спросил сколько лет детям.

Петр ответил, что произведение их возрастов равно количеству уток, плавающих в озере.

Иван сказал, что этой информации недостаточно.

Петр сказал, что старший больше похож на маму.

Иван сказал, что теперь понятно сколько лет сыновьям.

 

Сколько лет сыновьям?

4; 1

Задача, в которой надо перевести условие на человеческий язык.

Единственное, что понятно, это что произведение возрастов мальчиков квадрат числа. И это не число, квадратом которого является произведение.

По какой причине мы отметаем вариант 1:9? 

Могу представить почему отметаем 1:16 (потому что могут быть 2:8, а значит первое условие не могло быть единственным или я вообще хз)

 

забыл написать, что два сына дошкольника

Всё, тогда чел выше прав, а почему он прав без полного условия?

А я тоже прав тогда.


Изменено пользователем SpooMyFly

Поделиться сообщением


Ссылка на сообщение
SpooMyFly написал 18 минут назад:
Cryless написал 1 час назад:

 

Всё, тогда чел выше прав, а почему он прав без полного условия?

А я тоже прав тогда.

да, ты более прав без полного условия

Поделиться сообщением


Ссылка на сообщение
(изменено)

ух бля я вернулся 

 

SpooMyFly написал 25.06.2022 в 03:11:

0-5 - тогда не смотрим стрим, если оказия происходит 20-25 (минут из 25 возможных)

а если 1 минута и 24 минуты?

SpooMyFly написал 25.06.2022 в 03:11:

10-15 - тогда не смотрим, если всё было 0-5 (5 минут)

а если 14 минут и 1 минута?

 

ты считаешь это в рамках. 0 минут - 10 минут. 1 минута - 11 минут. 2 минуты - 12 минут, что в корне неверно

 

ошибка в том, что ты смотришь на величины дискретно, вместо того чтобы формализовать это в непрерывную зависимость времени одного от времени другого

вот так будет правильней
B376lEo.png


Изменено пользователем LynTeek

Ilze said On 5/6/2025 at 5:01 AM:

 у меня был секс с женьком

Поделиться сообщением


Ссылка на сообщение
LynTeek написал 23 часа назад:

ух бля я вернулся 

 

SpooMyFly написал 25.06.2022 в 02:11:

0-5 - тогда не смотрим стрим, если оказия происходит 20-25 (минут из 25 возможных)

а если 1 минута и 24 минуты?

SpooMyFly написал 25.06.2022 в 02:11:

10-15 - тогда не смотрим, если всё было 0-5 (5 минут)

а если 14 минут и 1 минута?

 

ты считаешь это в рамках. 0 минут - 10 минут. 1 минута - 11 минут. 2 минуты - 12 минут, что в корне неверно

 

ошибка в том, что ты смотришь на величины дискретно, вместо того чтобы формализовать это в непрерывную зависимость времени одного от времени другого

вот так будет правильней
B376lEo.png

 

Когда это публиковалось, уже видел, что дискретность выбрасывает решение в мусорку, но вспомнить/придумать методу - на это положено. А на Олимпиаде за правильный ход мысли баллы давали

Поделиться сообщением


Ссылка на сообщение
(изменено)

НОВАЯ МАТЕМАТИНКА

Найдите площадь квадрата

image.png.e664044bfe84853e21f340078e707eb6.png
 

 

 


Изменено пользователем LynTeek

Ilze said On 5/6/2025 at 5:01 AM:

 у меня был секс с женьком

Поделиться сообщением


Ссылка на сообщение

Сколько на картинке медведей?
SFpUY3XLcNs.jpg?size=1355x1474&quality=9


Ilze said On 5/6/2025 at 5:01 AM:

 у меня был секс с женьком

Поделиться сообщением


Ссылка на сообщение
LynTeek написал 1 час назад:

Сколько на картинке медведей?
SFpUY3XLcNs.jpg?size=1355x1474&quality=9

Ну это семь

Скрытый текст

 

 

SFpUY3XLcNs~2.jpg

Поделиться сообщением


Ссылка на сообщение
(изменено)

в честь возвращения женька дублирую нерешенные задачки
image.png

 

 

 

площадь квадрата - ?image.png


Изменено пользователем LynTeek

Ilze said On 5/6/2025 at 5:01 AM:

 у меня был секс с женьком

Поделиться сообщением


Ссылка на сообщение
LynTeek написал 1 час назад:

в честь возвращения женька дублирую нерешенные задачки
image.png

 

 

 

площадь квадрата - ?image.png

 

153 см2


  GOAT

image.png.cb7c1f880ce886cddffc60445cbf1bf4.png

Поделиться сообщением


Ссылка на сообщение

Лунтик, поработай над почерком. Понимаю, что это письмо мышкой, но все равно как-то неприятно задачи с таким оформлением читать. 



 

Поделиться сообщением


Ссылка на сообщение

@Zhenek вот эти

 

забыл упомянуть, что фигура - правильный пятиугольник

LynTeek написал 07.08.2022 в 12:07:

в честь возвращения женька дублирую нерешенные задачки
image.png

 

 

 

площадь квадрата - ?image.png

 

 

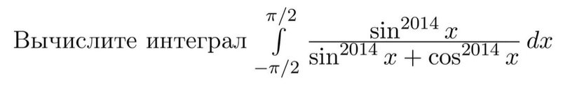
В дополнение к этому, предлагаю вам решить интеграл Путина

Задача, которую вадим вадимыч решал, чтоб поступить на юрфак лгу
image.png.3895b03ecc2727e38fbe3b6236a365e9.png


Ilze said On 5/6/2025 at 5:01 AM:

 у меня был секс с женьком

Поделиться сообщением


Ссылка на сообщение

Ок ща вернусь домой с работы и решу

Поделиться сообщением


Ссылка на сообщение

Сбербанк :pdanus::pdanus::pdanus:


Ilze said On 5/6/2025 at 5:01 AM:

 у меня был секс с женьком

Поделиться сообщением


Ссылка на сообщение
LynTeek написал 2 часа назад:

Сбербанк :pdanus::pdanus::pdanus:

Так. Ну, с квадратом вроде вот так.

image.png.9ff1307746ef486be7076b570e27d818.png

LynTeek понравилось это

Поделиться сообщением


Ссылка на сообщение

Интересная задача.

12 попарно различных натуральных чисел сели за круглый стол, одно из чисел равно 1. Любые 2 соседних числа отличаются либо на 10, либо на 7. Какое наибольшее значение может принимать число, севшее за стол?


Ilze said On 5/6/2025 at 5:01 AM:

 у меня был секс с женьком

Поделиться сообщением


Ссылка на сообщение
(изменено)
LynTeek написал 2 часа назад:

Интересная задача.

12 попарно различных натуральных чисел сели за круглый стол, одно из чисел равно 1. Любые 2 соседних числа отличаются либо на 10, либо на 7. Какое наибольшее значение может принимать число, севшее за стол?

Очевидный подход:

1. максимизация +10 с учётом того, что обратно нужно вернуться в 1 через -7

2. количество +10 равно количеству -10 и количество +7 равно количеству -7

 

у тебя 12 операций (между 12 числами по кругу), соответственно из них 5 будет +10, 5 -10, 1 +7 и 1 -7. Дальше тупо рисуешь

image.png.bf7700986821dcd0232d44618fecf7bc.png

 

 

Задачу с пятиугольником чё-то не могу решить. Хуйня какая-то бесячая. Явно что-то простое, но чё-то не приходит на ум. Почти очевидно, что что-то там надо достраивать.

 


Изменено пользователем Zhenek

Поделиться сообщением


Ссылка на сообщение
Zhenek написал 15 минут назад:

Задачу с пятиугольником чё-то не могу решить. Хуйня какая-то бесячая. Явно что-то простое, но чё-то не приходит на ум. Почти очевидно, что что-то там надо достраивать.

 

могу подсказать что надо что-то мысленно покрутить

ну или спроецировать одну фигуру в другую

Zhenek написал 16 минут назад:
LynTeek написал 2 часа назад:

Интересная задача.

12 попарно различных натуральных чисел сели за круглый стол, одно из чисел равно 1. Любые 2 соседних числа отличаются либо на 10, либо на 7. Какое наибольшее значение может принимать число, севшее за стол?

Очевидный подход:

1. максимизация +10 с учётом того, что обратно нужно вернуться в 1 через -7

2. количество +10 равно количеству -10 и количество +7 равно количеству -7

 

у тебя 12 операций (между 12 числами по кругу), соответственно из них 5 будет +10, 5 -10, 1 +7 и 1 -7. Дальше тупо рисуешь

image.png.bf7700986821dcd0232d44618fecf7bc.png

 

 

Задачу с пятиугольником чё-то не могу решить. Хуйня какая-то бесячая. Явно что-то простое, но чё-то не приходит на ум. Почти очевидно, что что-то там надо достраивать.

 

 

решение верное, ток я эту задачку с всероса брал, там еще есть формальное доказательство что больше числа не получить
image.png.62a807d81163698aa3da9af946a5b75f.png

с пятиугольникам кстати тоже со всероса

Есть там какие-то новые задачки со сбербанковского фронта порешать пацанам?


Ilze said On 5/6/2025 at 5:01 AM:

 у меня был секс с женьком

Поделиться сообщением


Ссылка на сообщение

про пятиугольник

минуточку

а чем отличается угол еал от угла бск?

а ничем

а значит раз там пятиугольник правельный то ответ нольвосемь

Поделиться сообщением


Ссылка на сообщение

Присоединяйтесь к обсуждению

Вы можете опубликовать сообщение сейчас, а зарегистрироваться позже. Если у вас есть аккаунт, войдите в него для написания от своего имени.

Гость
Ответить в тему...

×   Вставлено в виде отформатированного текста.   Восстановить форматирование

  Разрешено не более 75 эмодзи.

×   Ваша ссылка была автоматически встроена.   Отобразить как ссылку

×   Ваш предыдущий контент был восстановлен.   Очистить редактор

×   Вы не можете вставить изображения напрямую. Загрузите или вставьте изображения по ссылке.

Загрузка...

×
×
  • Создать...