Перейти к публикации
  • Сейчас на странице   Всего пользователей: 0   (0 пользователей, 0 гостей)

Zhenek

Разминка для мозга

Рекомендованные сообщения

Zhenek написал 21 минуту назад:

ну так это хуйня, потому что у тебя dt должно быть внизу ... скорость - это производная от количества (пельменей, метров пройденного пути, выполненной работы) по времени, а не наоборот.

 

та я сам не ебу что к чему, написано скорость к количеству, че бы это не значило.

я знаю ты тертый калач в дифференциальных уравнениях, сможешь разобраться, если не лень


Ilze said On 5/6/2025 at 5:01 AM:

 у меня был секс с женьком

Поделиться сообщением


Ссылка на сообщение
(изменено)

А вы уверены что там диффур вообще? Рядами пахнет (хотя может тут и то и другое надо).

 

Я вижу задачу -  найти сумму первых 35 t(i).

Притом что 3/t(i+1) = (сумма по i от 1 до (i) всех t(i)) / i

 

Ну и еще прикол - в 15 минут не обязательно готово ровно 5 пельменей, 6й может находится в любой стадии готовности кроме готов полностью. То есть сумма первых пяти t равна 15-тау, где тау меньше чем t6 (соответственно, меньше чем t5 тоже). Но может быть, нас пощадили, и тау это 0.

 

В условии намудрили конечно, с пропорционально этим. Но суть в том, что когда растет скорость, то падает время изготовления 1й штуки. А раз падает время изготовления 1й штуки, то при линейном росте числа штук частное (общее время)/штуки уменьшается. А оно пропорционально скорости. Значит, обратно пропорционально, иначе бред.

 

Мне решать лень, матан в чистом виде, не хочу думать даже, дальше сами.


Изменено пользователем Uranium235

Поделиться сообщением


Ссылка на сообщение
Uranium235 написал 10 часов назад:

Ну и еще прикол - в 15 минут не обязательно готово ровно 5 пельменей, 6й может находится в любой стадии готовности кроме готов полностью. То есть сумма первых пяти t равна 15-тау, где тау меньше чем t6 (соответственно, меньше чем t5 тоже). Но может быть, нас пощадили, и тау это 0.

это чистая условность. в 15 минут у него готово ровно 5 пельменей.

 

ну кстати я думал еще насчет того что женек сказал про скорость и dt должно быть внизу, что вообще не так. В условиях этой задачи скорость может быть определена любым образом хоть площадь делить на давление.


Ilze said On 5/6/2025 at 5:01 AM:

 у меня был секс с женьком

Поделиться сообщением


Ссылка на сообщение
(изменено)

У меня выходит что t2 это 3/t1, что сводит на нет получение внятного решения. Если первое время больше трёх, то второе меньше минуты, и из этого вряд ли получится 15 минут, разве что первое время почти 15, а четыре других меньше минуты, и оно продолжает падать.

Неправдоподобно, это ж не абстракция, скорее всего время лепки в начале ожидаемо на бытовом уровне (не миллисекунды, но и не часы)

Но если первое время меньше трёх минут, то сумма 5 первых t  тоже не даёт 15.

 

То есть приходится признать, что я наверное не прав, и тут не дискретное, а постоянное ускорение (то есть половина слепленного тоже пельменя повышает скорость лепки).

Тогда дифур, да.

 

 

 

А скорость я определял как 1 пельмень/время лепки, то есть обратная величина времени. Но если ускорение не дискретно, это не прокатит.


Изменено пользователем Uranium235

Поделиться сообщением


Ссылка на сообщение

ВЫ ЧЁ ВАЩЕ ЕБАНУТЫЕ 

4 ГОДА РЕШАТЬ КАК ПЕЛЬМЕНИ ВАРИТЬ ТЕХНАРИ СУКА ТУПЫЕ

Поделиться сообщением


Ссылка на сообщение
(изменено)

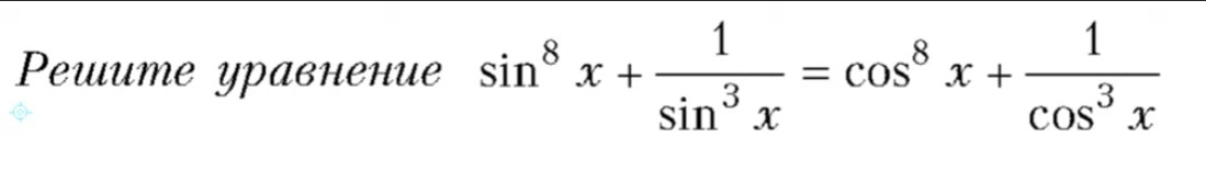
После этой задачи Путин начал мобилизацию. Решите уравнение, чтобы спасти человечество.

image.png.c67fccc15b0a2eb67a1de744835dcf7f.png


Изменено пользователем LynTeek

Ilze said On 5/6/2025 at 5:01 AM:

 у меня был секс с женьком

Поделиться сообщением


Ссылка на сообщение

один человек может поднять 50кг сколько нужно человек чтобы поднять 70 тон?

 


гиены скалятся — нахуй гиен

SoEmpty написал 13.05.2025 в 14:09:

Но правды ради русский вообще не метовый язык

 

Поделиться сообщением


Ссылка на сообщение
phosphorique said On 9/30/2022 at 5:30 PM:

один человек может поднять 50кг сколько нужно человек чтобы поднять 70 тон?

 

смешно  конечно, но по факту будет  достаточно одного человека

Поделиться сообщением


Ссылка на сообщение
smailouser написал 2 часа назад:
phosphorique написал 30.09.2022 в 21:30:

один человек может поднять 50кг сколько нужно человек чтобы поднять 70 тон?

 

смешно  конечно, но по факту будет  достаточно одного человека

1 человека? там речь про камень весом 70т

вот ориг. В целом классный ролик получился советую
 

 


гиены скалятся — нахуй гиен

SoEmpty написал 13.05.2025 в 14:09:

Но правды ради русский вообще не метовый язык

 

Поделиться сообщением


Ссылка на сообщение

Решаем новогодний тервер

image.png.c2a69b611cafaf4ea1952246a3b004ee.png

Всем женек экзальты 


Ilze said On 5/6/2025 at 5:01 AM:

 у меня был секс с женьком

Поделиться сообщением


Ссылка на сообщение

Привет, физику не сдавал. А если про предмет, то механика нравилась прям заебись шло, а хуйня типа термодинамики и еще какой-то хуеты - говно для хуесосов

Реши кстати задачку выше, я че-то сел и не смог сходу, не могу закономерности увидеть, потому что дохуя частных случаев типа АБ встают не предпоследнюю клетку и тогда 2 таких случая надо отдельно рассматривать и т.п. 


Ilze said On 5/6/2025 at 5:01 AM:

 у меня был секс с женьком

Поделиться сообщением


Ссылка на сообщение
LynTeek написал 11.01.2023 в 00:56:

Привет, физику не сдавал. А если про предмет, то механика нравилась прям заебись шло, а хуйня типа термодинамики и еще какой-то хуеты - говно для хуесосов

Реши кстати задачку выше, я че-то сел и не смог сходу, не могу закономерности увидеть, потому что дохуя частных случаев типа АБ встают не предпоследнюю клетку и тогда 2 таких случая надо отдельно рассматривать и т.п. 

А ты как деньги собираешься зарабатывать после окончания учебы?

Поделиться сообщением


Ссылка на сообщение
LynTeek написал 01.01.2023 в 12:39:

Решаем новогодний тервер

image.png.c2a69b611cafaf4ea1952246a3b004ee.png

Всем женек экзальты 

Где наебываюсь?

 

Обозначим АБ - буквой W, ВГ - Буквой Y, ДЕ буквой Z. Итого получим алфавит из 30 букв. Вариантов слов 30!

Во втором случае 29!

 

Ответ: 30

 

Так где наебываюсь?

LynTeek понравилось это

126019000064.jpg 126018958347.jpg127694363158.jpg

126018954572.jpg

 

Поделиться сообщением


Ссылка на сообщение

Честный шестигранный кубик бросают 6 раз. Найдите вероятность того, что какое-либо из значений выпадет более 1 раза


Ilze said On 5/6/2025 at 5:01 AM:

 у меня был секс с женьком

Поделиться сообщением


Ссылка на сообщение
(изменено)
LynTeek написал 10 минут назад:

Честный шестигранный кубик бросают 6 раз. Найдите вероятность того, что какое-либо из значений выпадет более 1 раза

35/36


Изменено пользователем Spawned

Поделиться сообщением


Ссылка на сообщение
Spawned написал 2 минуты назад:
LynTeek написал 12 минут назад:

Честный шестигранный кубик бросают 6 раз. Найдите вероятность того, что какое-либо из значений выпадет более 1 раза

35/36

 

Привет, неа


Ilze said On 5/6/2025 at 5:01 AM:

 у меня был секс с женьком

Поделиться сообщением


Ссылка на сообщение
LynTeek написал 1 минуту назад:
Spawned написал 3 минуты назад:
LynTeek написал 13 минут назад:

Честный шестигранный кубик бросают 6 раз. Найдите вероятность того, что какое-либо из значений выпадет более 1 раза

35/36

 

Привет, неа

ну тогда 719/720

Поделиться сообщением


Ссылка на сообщение
Spawned написал Только что:
LynTeek написал 2 минуты назад:
Spawned написал 4 минуты назад:
LynTeek написал 14 минут назад:

Честный шестигранный кубик бросают 6 раз. Найдите вероятность того, что какое-либо из значений выпадет более 1 раза

35/36

 

Привет, неа

ну тогда 719/720

Привет, нет. Не понимаю, где тытакие числа вообще решил взятьб


Ilze said On 5/6/2025 at 5:01 AM:

 у меня был секс с женьком

Поделиться сообщением


Ссылка на сообщение
(изменено)
LynTeek написал 10 минут назад:
Spawned написал 10 минут назад:
LynTeek написал 12 минут назад:
Spawned написал 15 минут назад:
LynTeek написал 24 минуты назад:

Честный шестигранный кубик бросают 6 раз. Найдите вероятность того, что какое-либо из значений выпадет более 1 раза

35/36

 

Привет, неа

ну тогда 719/720

Привет, нет. Не понимаю, где тытакие числа вообще решил взятьб

перебором хуярю чисто
Ну тогда (6^6-6!)/6^6


Изменено пользователем Spawned

Поделиться сообщением


Ссылка на сообщение

Присоединяйтесь к обсуждению

Вы можете опубликовать сообщение сейчас, а зарегистрироваться позже. Если у вас есть аккаунт, войдите в него для написания от своего имени.

Гость
Ответить в тему...

×   Вставлено в виде отформатированного текста.   Восстановить форматирование

  Разрешено не более 75 эмодзи.

×   Ваша ссылка была автоматически встроена.   Отобразить как ссылку

×   Ваш предыдущий контент был восстановлен.   Очистить редактор

×   Вы не можете вставить изображения напрямую. Загрузите или вставьте изображения по ссылке.

Загрузка...

×
×
  • Создать...