Перейти к публикации
  • Сейчас на странице   Всего пользователей: 0   (0 пользователей, 0 гостей)

GNNshka

Матем. Интегралы и половая связь с ними.

Рекомендованные сообщения

нет


12.02.2016 в 11:39, Liouville написал:

И что, ни одного предложения об улучшении секса от Верма? Пизду там сдвинуть на два сантиметра

 

 

Поделиться сообщением


Ссылка на сообщение

Чет в голос) Теперь рили кринж.


 

DB

59221730.png


Я - гений, ёпта

bfe7003be27e8e81ce6a7d2d8192e9ae.jpg


22


msg-93176-0-72842500-1438846470_thumb.jpg

Поделиться сообщением


Ссылка на сообщение

У меня по математике вообще 1-2 балла

так что я хз, как эта хуйня решается

Поделиться сообщением


Ссылка на сообщение
GNNshka написал 17 часов назад:
oo4375oo написал 06.09.2020 в 23:29:
GNNshka написал 06.09.2020 в 22:21:

D (p) = p+8/p+2

S (p) = p+0.5

p1 = 3

p3 = ?

 

помогите

сфоткай задание нормально, блять

тебе равновесную цену найти надо или что?

 

Найти р3 и построить функции саплай и деманд

ты не можешь задание сфоткать? 

нихуя же непонятно из твоих р1 р3...

 


32964f0537ce.jpg

Поделиться сообщением


Ссылка на сообщение
(изменено)

Найти угол между прямыми -х+5у+22=0 5х-2у-11=0

image.png.128446a092795cc5facf19631c868447.png

Нашел по этой формуле -15/√754, но в ответе число арктангенс 23/15.

Чо не так сделал? 

 

 

 

 


Изменено пользователем GNNshka

Убийца @dreamhaze

Убийца @BeyondY

Поделиться сообщением


Ссылка на сообщение
(изменено)
GNNshka написал 27 минут назад:

Найти угол между прямыми -х+5у+22=0 5х-2у-11=0

image.png.128446a092795cc5facf19631c868447.png

Нашел по этой формуле -15/√754, но в ответе число арктангенс 23/15.

Чо не так сделал? 

 

 

 

 

 


My9OXH4.png

у меня получилось как ты и написал (arctg 23/15)


Изменено пользователем AndSoHeSpoke

Поделиться сообщением


Ссылка на сообщение

матем блядь совсем дурак

Поделиться сообщением


Ссылка на сообщение

Автор долбоёб конечно. Мало того, что формулу не смог списать правильно, так ещё и не знает, что зная косинус, можно найти тангенс. Тупо бездарь.

Поделиться сообщением


Ссылка на сообщение
AndSoHeSpoke написал 10 часов назад:
GNNshka написал 11 часов назад:

Найти угол между прямыми -х+5у+22=0 5х-2у-11=0

image.png.128446a092795cc5facf19631c868447.png

Нашел по этой формуле -15/√754, но в ответе число арктангенс 23/15.

Чо не так сделал? 

 

 

 

 

 

Показать больше  


My9OXH4.png

у меня получилось как ты и написал (arctg 23/15)

 

Покажи решение

Zhenek написал 9 часов назад:

Автор долбоёб конечно. Мало того, что формулу не смог списать правильно, так ещё и не знает, что зная косинус, можно найти тангенс. Тупо бездарь.

Я школу закончил раньше, чем ты родился, деб. Офц я все забыл 


Убийца @dreamhaze

Убийца @BeyondY

Поделиться сообщением


Ссылка на сообщение
GNNshka said 1 hour ago:

Покажи решение

Приводишь свои уравнения к виду y=kx+b (надеюсь, не надо объяснять как тут это сделать), да подставляешь в формулу, что он написал

GNNshka понравилось это

Поделиться сообщением


Ссылка на сообщение
(изменено)
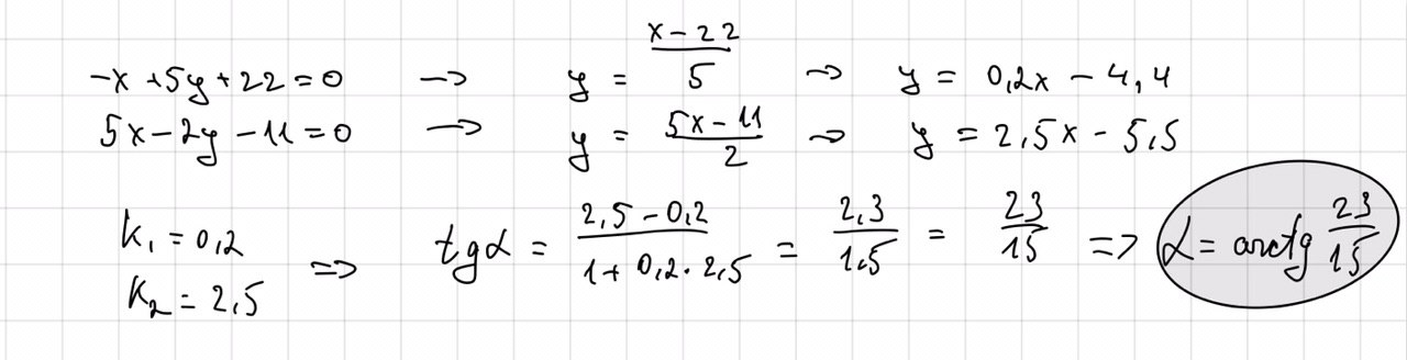
GNNshka написал 2 часа назад:

Покажи решение

image.png.44f93f27d91d6bcf286db4957a12d8a7.png

 

забыл перед 2,3/1,5 и 23/15 поставить tga, тч ты в решении укажи (а то еще доебутся)


Изменено пользователем oo4375oo
GNNshka и AndSoHeSpoke понравилось это

32964f0537ce.jpg

Поделиться сообщением


Ссылка на сообщение
(изменено)

Ну если тебе 50 лет, то ок. А если меньше 30, то ты мусор, неумеющий в первую ссылку в гугле.


Изменено пользователем Zhenek

Поделиться сообщением


Ссылка на сообщение
Zhenek написал 25 минут назад:

Ну если тебе 50 лет, то ок. А если меньше 30, то ты мусор, неумеющий в первую ссылку в гугле.

 

ГННшка, конечно, тот еще долбаеб, судя по топану Белоруси, но к чему подобные посты в теме, где чел помощи просит? Причем ты ж сам нихуя не сделал, кроме как зачем-то высрал аж два поста, где автора гнобишь.

 

NeGa123 и GNNshka понравилось это

32964f0537ce.jpg

Поделиться сообщением


Ссылка на сообщение

Как минимум из-за отсутствия "Пожалуйста". Создаётся впечатление, что чел создал топик ради того, чтоб его создать, а не чтобы ему реально помогли. Таких только нахуй послать можно, особенно учитвая, что эти задачи, во-первых, к вышмату никакого отношения не имеют, как он утверждает, а, во-вторых, элементарные до безобразия.

kmtw, Rilay и E1azor понравилось это

Поделиться сообщением


Ссылка на сообщение

Если ему скидывать готовые решения то толку тут ровно ноль, как был тупарем так и остался

Если чел не может подставить цифры в готовые формулы, то вопрос каким хуем он эту математику вообще изучает, может все таки лучше философию

Если бы он скинул например свое решение, но оно было бы неправильно и спросил бы что он делает неправильно, это было бы правильнее

Поделиться сообщением


Ссылка на сообщение

Присоединяйтесь к обсуждению

Вы можете опубликовать сообщение сейчас, а зарегистрироваться позже. Если у вас есть аккаунт, войдите в него для написания от своего имени.

Гость
Ответить в тему...

×   Вставлено в виде отформатированного текста.   Восстановить форматирование

  Разрешено не более 75 эмодзи.

×   Ваша ссылка была автоматически встроена.   Отобразить как ссылку

×   Ваш предыдущий контент был восстановлен.   Очистить редактор

×   Вы не можете вставить изображения напрямую. Загрузите или вставьте изображения по ссылке.

Загрузка...

×
×
  • Создать...